Vineri seară, la ora 20.00, la Ploiești intră în vigoare carantina de noapte, valabilă deocamdată doar în weekend. Persoanele nevaccinate și netrecute pin boală în ultimele șase luni mai pot părăsi locuința, în intervalul 20.00 – 5.00, doar cu motiv întemeiat și având asupra lor anumite documente.
Restricțiile nu se aplică pentru cei vaccinați anti-Covid sau persoanelor care au fost infectate în ultimele 180 de zile. Nevaccinații, însă, nu mai pot părăsi locuința în nopțile de vineri, sâmbătă și duminică, în intervalul 20.00 – 5.00, decât pentru unul dintre motivele de mai jos:
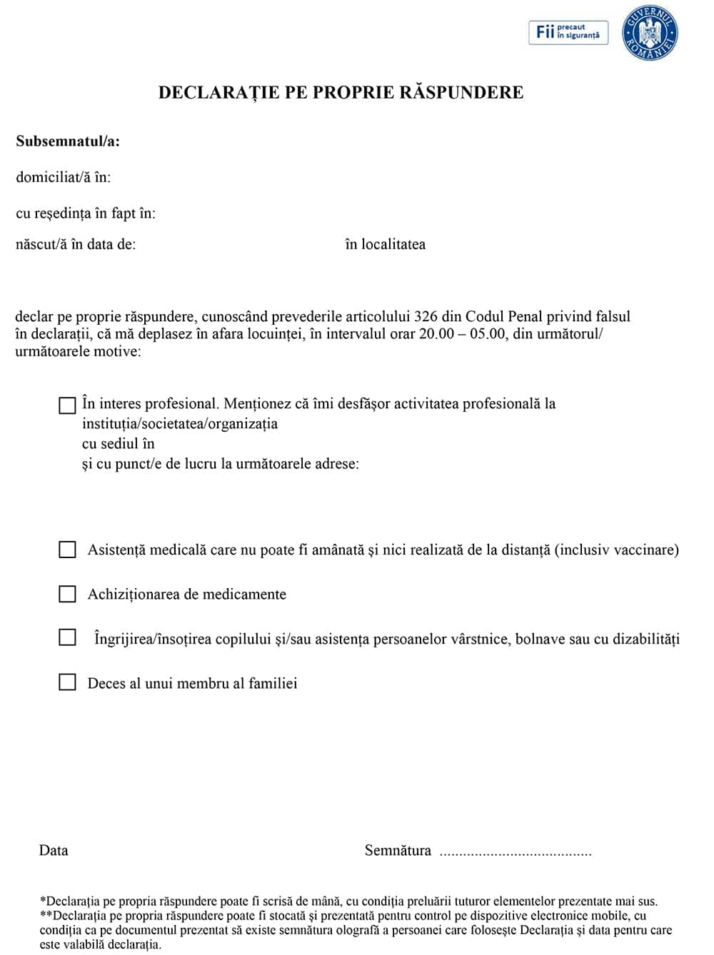
a) deplasarea în interes profesional, inclusiv între locuinţă/gospodărie şi locul/locurile de desfăşurare a activităţii profesionale şi înapoi;
b) deplasarea pentru asistenţă medicală care nu poate fi amânată şi nici realizată de la distanţă, precum şi pentru achiziţionarea de medicamente;
c) deplasări în afara localităţilor ale persoanelor care sunt în tranzit sau efectuează călătorii al căror interval orar se suprapune cu perioada interdicţiei, cum ar fi cele efectuate cu avionul, trenul, autocare sau alte mijloace de transport de persoane, şi care poate fi dovedit prin bilet sau orice altă modalitate de achitare a călătoriei;
d) deplasarea din motive justificate, precum îngrijirea/însoţirea copilului, asistenţa persoanelor vârstnice, bolnave sau cu dizabilităţi ori decesul unui membru de familie.
Motivul trebuie consemnat într-o declarație pe propria răspundere, care trebuie completată și prezentată la solicitarea autorităților.
Modelul declarației pe propria răspundere

De asemenea, angajații care nu sunt vaccinați și nu au trecut prin boală, nevoiți să se deplaseze pe durata carantinei de noapte, pot prezenta o adeverință de la angajator care să justifice motivul deplasării.
Modelul adeverinței de la angajator

Documentele pot fi descărcate și de AICI.
Foto cu caracter ilustrativ
