Comitetul Județean pentru Situații de Urgență a aprobat, în această săptămână, lista care va fi trimisă la Guvern, sub forma unui proiect de hotărâre, cu lucrările care ar fi necesare în Prahova, ca urmare a fenomenelor meteo înregistrate în perioada ianuarie – iulie 2022. În total, autoritățile județene spun că ar avea nevoie de aproape 600 de milioane de lei, aproape un sfert de sumă pentru obiective din administrarea Consiliului Județean, iar restul pentru lucrări de infrastructură în 32 de localități.
Aproape 135 de milioane de lei ar fi suma necesară Consiliului Județean, pentru lucrările necesare la drumuri județene și podețe afectate de ploile abundente și alunecările de teren, în prima parte a anului. Cele mai mari cheltuieli sunt estimate pentru consolidarea și refacerea DJ 101T (5,43 km în comuna Bertea) – 53,1 milioane de lei – și a DJ 207 (1,8 km+un podeț, la Șotrile) – 27,93 milioane de lei. Investiții destul de mari ar mai trebui făcute pentru refacerea DJ 102I, pe o lungime de 500 de metri, în zona Câmpina (20,6 milioane de lei), respectiv pentru consolidare și refacere pe o porțiune de 400 de metri din DJ 235, în comuna Lapoș (14 milioane de lei, la care s-ar adăuga aproape 1,9 milioane pentru repararea unui pod, pe același drum județean).
Municipiul Câmpina a cerut, conform listei aprobate de CJSU, 22,66 milioane de lei, pentru refacerea unor străzi și realizarea de apărări de mal.
Dintre orașe, așteaptă fonduri de la Guvern Azuga, Breaza, Bușteni, Comarnic, Mizil, Slănic și Vălenii de Munte. La Slănic sunt estimate cele mai mari cheltuieli, de aproape 40 de milioane de lei, din care 32,6 milioane pentru consolidarea unui versant.
În ceea ce privește lucrările necesare pe raza unor comune, Cerașu a solicitat peste 58 de milioane de lei, mai mult de o treime din sumă fiind necesară, de asemenea, pentru consolidarea unui versant, în timp ce Valea Doftanei speră să primească aproape 33,59 milioane de lei, în special pentru refacerea unor străzi.
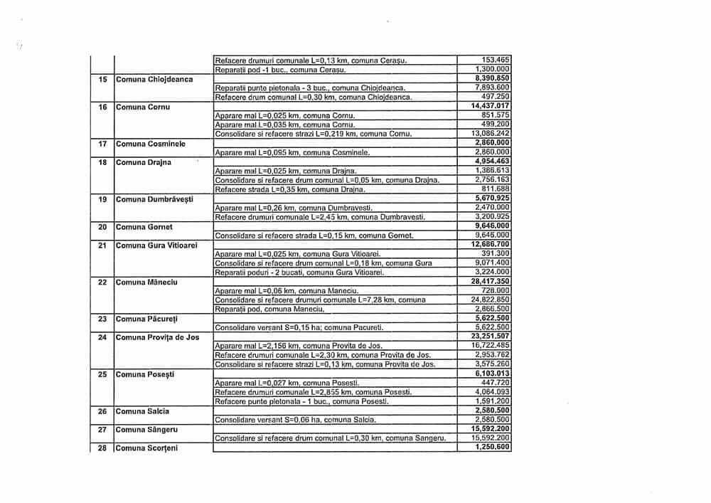
Lista lucrărilor necesare în Prahova, pentru care au fost ceruți bani de la Guvern:




Urmăreşte pagina de Facebook „Telegrama” pentru ştiri şi analize de ultimă oră!
Foto cu caracter ilustrativ


